0771-5791162
首页
明星产品
静音发电机组
潍柴发电机组
珀金斯发电机组
沃尔沃发电机组
康明斯柴油发电机组
上柴发电机组
玉柴发电机组
产品展示
Betway·必威(西汉姆联)唯一官方网站
BetWay88体育平台
Betway·必威(西汉姆联)唯一官方网站
中标通知书
技术支持
案例中心
betway88必威东盟体育
服务跟踪
betway88官网手机版
网站首页
明星产品
静音发电机组
潍柴发电机组
珀金斯发电机组
沃尔沃发电机组
康明斯柴油发电机组
上柴发电机组
玉柴发电机组
产品展示
Betway·必威(西汉姆联)唯一官方网站
企业动态
中标通知书
技术支持
案例中心
betway88必威东盟体育
服务跟踪
betway88官网手机版
Open Nav
添加微信好友了解产品
w13667715899
+ 关注
走进
明星产品
产品展示
新闻中心
技术支持
荣誉资质
服务跟踪
静音发电机组
潍柴发电机组
珀金斯发电机组
沃尔沃发电机组
康明斯柴油发电机组
上柴发电机组
玉柴发电机组
当前位置:
首页
>
技术支持
必须了解的柴油发电机组基础问题,维护发电机组入门知识(一)
目前很多使用柴油发电机组的用户都把机组交给专业人员定期进行检查及维护保养但是在日常的相关的人员也要了解柴油发电机组的基本常识。广西柴油发电机组厂家-电力分享相关的基础知识。
查看更多
2018-06-19
柴油发电机组中输油泵的是用来做什么的?它又是由哪些零部件构成?
柴油发电机厂家-电力在此简单介绍一下活塞式输油泵在柴油发电机组中起的作用与工作原理,增近大家对活塞式输油泵的了解,为保养维修柴油发电机组打下基础。
查看更多
2018-06-15
发动机水泵工作原理是什么?有什么构造特点?柴油发电机组厂家告诉你
柴油发电机组的发动机水泵的作用简单来说,就是冷却发动机,防止发动机温度过高坏掉。 发动机水泵工作原理是通过皮带轮带动水泵轴承及叶轮转动,水泵中的冷却液被叶轮带动一起旋转
查看更多
2018-06-14
注意了!柴油机冷却系统水泵的检修
柴油发电机组水泵的功用是强制冷却水在冷却系内循环流动。下面电力就来给大家介绍一下水泵维修常见故障有哪些及解决水泵故障问题。
查看更多
2018-06-14
柴油进水了怎么办?柴油发电机组油水分离器重大作用
为了除去柴油中的水分,有的柴油机(如康明斯C系列),在燃油箱与输油泵之间还装有专门的油水分离装置一油水分离器。该装置的主要目的是将柴油中的水份分离出来。
查看更多
2018-06-13
柴油滤清器在柴油发电机组中是由什么构成的?起到什么作用?
柴油滤清器的种类很多,粗滤器用来滤除颗粒较大的杂质,这样可减少细滤器过滤的杂质量,避免细滤器被迅速堵塞而缩短使用寿。细滤器则应能滤去对供油系统有危害的最小子,这种粒子的直径约数微米。
查看更多
2018-06-12
什么是备用柴油发电机组的喷油提前角?如何调节装置
什么是备用柴油发电机组的喷油提前角?相信很多人都不清楚,柴油发电机组的喷油提前角是指柴油开始喷入气缸的时刻相对于曲轴上止点的曲轴转角,而供油提前角则是喷油泵开始向气缸供油时的曲轴转角。
查看更多
2018-06-11
电力揭秘康明斯柴油发动机6步保养法-了解更多发电机组!
发动机是柴油发电机组的核心组成部分,除按时、按规程、按工艺检修外,还必须经常检查、精心养护、正确使用,使柴油发电机组充分发挥功率,提高经济性,延长使用寿命。来看看以下保养柴油发动机
查看更多
2018-06-09
了解更多柴油发电机组必须先学习电子调速器工作原理
电子调速器在结构和控制原理上与机械式调速器有很大不同,它是将转速和(或)负荷的变化以电子信号的形式传到控制单元,与设定的电压(电流)信号进行比较后再输出一个电子信号给执行机构
查看更多
2018-06-08
如何进行柴油发电机组散热器的保养,和电力一起来学习吧!
柴油发电机组散热器的保养对于柴油发电机组来说也是相当重要的。下面由电力分析柴油发电机组正确的散热器保养方法。
查看更多
2018-06-08
柴油机I号喷油泵调速器的5大工况
因为柴油机转速的不同,调速器可能处于5种工作状况,I号喷油泵调速器的5种工作状况分别为:一般工况、怠速工况、冷启动工况、最高工作转速工况、超负荷工况。下面,电力就详细介绍这些工况不同之处。
查看更多
2018-06-07
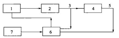
机械式调速器之一的I号喷油泵调速器的构造-广西柴油发电机组
I号喷油泵调速器为机械全程式调速器,其构造如图所示。I号喷油泵调速器主要由驱动件、飞球、调速弹簧、传动部分和操纵部分等组成。
查看更多
2018-06-07
4369 条记录 355/365 页
上一页
下一页
第一页
上5页
351
352
353
354
355
下5页
最后一页
1
2
3
4
5
6
7
8
9
10
11
12
13
14
15
16
17
18
19
20
21
22
23
24
25
26
27
28
29
30
31
32
33
34
35
36
37
38
39
40
41
42
43
44
45
46
47
48
49
50
51
52
53
54
55
56
57
58
59
60
61
62
63
64
65
66
67
68
69
70
71
72
73
74
75
76
77
78
79
80
81
82
83
84
85
86
87
88
89
90
91
92
93
94
95
96
97
98
99
100
101
102
103
104
105
106
107
108
109
110
111
112
113
114
115
116
117
118
119
120
121
122
123
124
125
126
127
128
129
130
131
132
133
134
135
136
137
138
139
140
141
142
143
144
145
146
147
148
149
150
151
152
153
154
155
156
157
158
159
160
161
162
163
164
165
166
167
168
169
170
171
172
173
174
175
176
177
178
179
180
181
182
183
184
185
186
187
188
189
190
191
192
193
194
195
196
197
198
199
200
201
202
203
204
205
206
207
208
209
210
211
212
213
214
215
216
217
218
219
220
221
222
223
224
225
226
227
228
229
230
231
232
233
234
235
236
237
238
239
240
241
242
243
244
245
246
247
248
249
250
251
252
253
254
255
256
257
258
259
260
261
262
263
264
265
266
267
268
269
270
271
272
273
274
275
276
277
278
279
280
281
282
283
284
285
286
287
288
289
290
291
292
293
294
295
296
297
298
299
300
301
302
303
304
305
306
307
308
309
310
311
312
313
314
315
316
317
318
319
320
321
322
323
324
325
326
327
328
329
330
331
332
333
334
335
336
337
338
339
340
341
342
343
344
345
346
347
348
349
350
351
352
353
354
355
356
357
358
359
360
361
362
363
364
365
热门产品
康明斯柴油发电机组
上柴柴油发电机组
玉柴柴油发电机组
移动拖车发电机组
静音发电机组
无锡斯坦福发电机型号
上海斯坦福发电机型号
推荐文章
map